数値計算
Top
記事一覧
第19話
チェビシェフの
不等式
第20話
大数の弱法則
第21話
ルンゲ=クッタ法
第22話
偏微分
第23話
陽的差分法
第24話
フーリエ級数
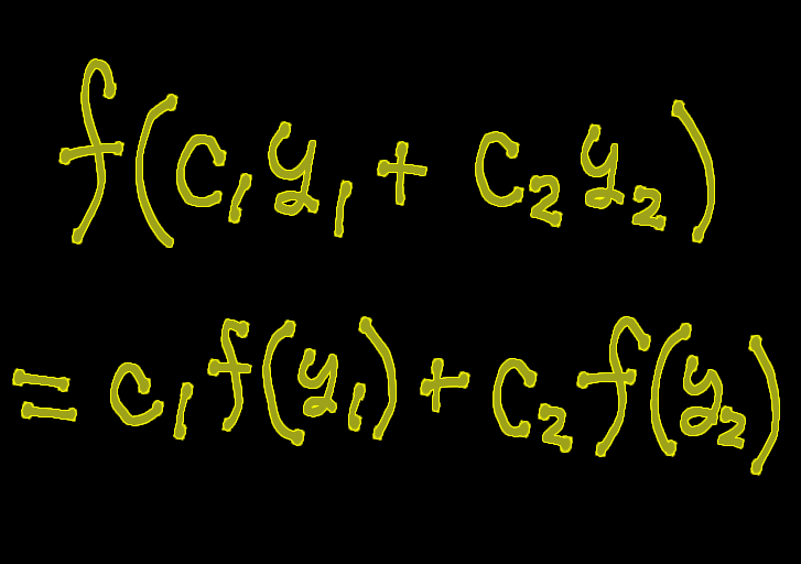
第25話
重ね合わせの原理
第26話
複素数
第27話
オイラーの公式
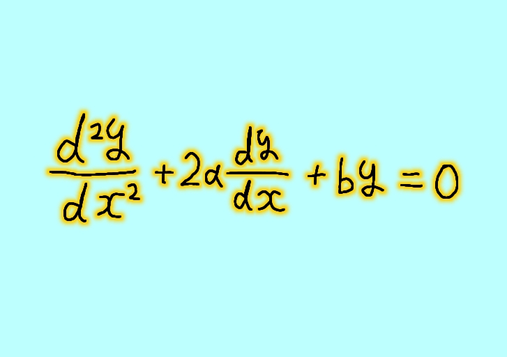
第28話
定数係数2階同次
線形常微分方程式
第29話
Von Neumann の安定性解析
第30話
行列
第31話
正方行列
第32話
内積・ノルム
第33話
置換
第34話
行列式
第35話
余因子
第36話
クラメルの公式
前
1
2
3
..
次